auswertungdergeschwindigkeitsmessung2022

Dieses Dokument ist Teil der Anfrage „Purkersdorf, Wiener Straße

/ 17
PDF herunterladen
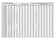
B1 - km 16,980 - Purkersdorf Zählstelle Nr.: 910306, Zählgerät Nr. 6396 (36) & 6409 (49), ST3-VS(CL)  
∑ Kfz
von bis R1+R2 Kfz v15 v50 v85 vd vmin vmax Kfz v15 v50 v85 vd vmin vmax
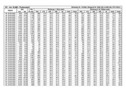
Mi, 22.06.2022 16:00 17:00 1.516 690 51,0 56,0 61,0 55,6 29,0 74,0 826 50,0 57,0 64,0 57,2 15,0 86,0
Mi, 22.06.2022 17:00 18:00 1.548 737 51,0 56,0 60,0 55,4 28,0 72,0 811 49,0 56,0 63,0 56,1 7,0 82,0
Mi, 22.06.2022 18:00 19:00 1.372 606 52,0 57,0 61,0 56,4 19,0 74,0 766 48,0 56,0 63,0 56,0 30,0 92,0
Mi, 22.06.2022 19:00 20:00 1.102 472 50,0 55,0 61,0 54,9 23,0 72,0 630 49,0 56,0 63,0 56,2 27,0 83,0
Mi, 22.06.2022 20:00 21:00 730 306 50,0 56,0 61,0 55,3 35,0 69,0 424 49,0 58,0 64,0 56,9 28,0 90,0
Mi, 22.06.2022 21:00 22:00 494 187 49,0 56,0 61,0 55,3 32,0 68,0 307 51,9 58,0 64,0 57,8 25,0 91,0
Mi, 22.06.2022 22:00 23:00 393 127 48,0 54,0 61,0 54,4 36,0 73,0 266 52,0 58,0 66,0 58,8 21,0 92,0
Mi, 22.06.2022 23:00 24:00 260 61 49,0 56,0 61,0 55,2 35,0 71,0 199 51,7 59,0 66,0 59,2 36,0 97,0
Do, 23.06.2022 0:00 1:00 131 43 46,3 54,0 61,0 53,7 38,0 68,0 88 51,1 59,0 65,0 58,6 29,0 86,0
Do, 23.06.2022 1:00 2:00 80 32 49,0 56,5 62,4 55,9 40,0 67,0 48 53,0 58,5 63,0 58,2 46,0 78,0
Do, 23.06.2022 2:00 3:00 50 23 47,6 55,0 60,0 54,8 45,0 66,0 27 50,9 56,0 64,3 57,6 27,0 86,0
Do, 23.06.2022 3:00 4:00 72 45 50,2 57,0 60,4 56,2 46,0 68,0 27 54,9 60,0 64,3 59,2 38,0 71,0
Do, 23.06.2022 4:00 5:00 139 98 53,0 58,0 63,5 57,9 27,0 71,0 41 53,0 59,0 69,0 60,4 41,0 79,0
Do, 23.06.2022 5:00 6:00 487 382 54,0 59,0 64,0 58,5 29,0 79,0 105 54,0 59,0 66,0 60,5 22,0 91,0
Do, 23.06.2022 6:00 7:00 1.066 777 51,0 57,0 62,0 56,8 23,0 74,0 289 51,0 58,0 65,0 58,0 15,0 86,0
Do, 23.06.2022 7:00 8:00 1.400 913 45,8 53,0 59,0 52,3 16,0 71,0 487 47,0 55,0 60,1 54,1 21,0 78,0
Do, 23.06.2022 8:00 9:00 1.326 804 48,0 54,0 59,0 53,3 25,0 76,0 522 47,0 54,0 61,0 53,9 17,0 75,0
Do, 23.06.2022 9:00 10:00 1.198 682 50,0 56,0 61,0 55,4 28,0 75,0 516 48,0 56,0 62,0 55,2 13,0 76,0
Do, 23.06.2022 10:00 11:00 1.159 616 50,0 56,0 61,0 55,3 22,0 71,0 543 50,0 56,0 62,0 55,5 18,0 91,0
Do, 23.06.2022 11:00 12:00 1.146 590 50,4 56,0 61,0 55,7 29,0 73,0 556 47,0 55,0 61,8 54,3 23,0 76,0
Do, 23.06.2022 12:00 13:00 1.204 570 49,0 56,0 61,0 55,0 27,0 72,0 634 50,0 56,0 63,0 56,5 28,0 86,0
Do, 23.06.2022 13:00 14:00 1.203 552 51,0 56,0 61,0 56,0 26,0 75,0 651 49,0 57,0 63,0 56,6 25,0 88,0
Do, 23.06.2022 14:00 15:00 1.285 586 50,0 56,0 61,0 55,7 30,0 71,0 699 50,0 57,0 63,0 56,8 8,0 88,0
Do, 23.06.2022 15:00 16:00 1.363 604 51,0 56,0 61,0 56,1 31,0 71,0 759 49,0 57,0 64,0 56,6 15,0 83,0
Do, 23.06.2022 16:00 17:00 1.481 657 50,0 56,0 61,0 55,2 34,0 72,0 824 49,0 56,0 62,0 55,4 25,0 82,0
Do, 23.06.2022 17:00 18:00 1.541 704 51,0 56,0 61,0 55,6 26,0 70,0 837 49,0 57,0 64,0 56,8 26,0 103,0
Do, 23.06.2022 18:00 19:00 1.304 568 51,0 57,0 61,0 56,5 20,0 88,0 736 50,0 56,0 63,0 56,2 8,0 80,0
Do, 23.06.2022 19:00 20:00 1.065 447 51,0 56,0 61,0 55,5 21,0 71,0 618 51,0 57,0 63,0 57,3 24,0 111,0
Do, 23.06.2022 20:00 21:00 818 335 50,0 57,0 62,0 55,8 25,0 76,0 483 50,3 58,0 64,0 57,4 16,0 120,0
Do, 23.06.2022 21:00 22:00 597 259 51,0 56,0 61,0 55,8 22,0 72,0 338 50,0 58,0 65,0 57,9 11,0 93,0
Do, 23.06.2022 22:00 23:00 456 171 49,5 56,0 61,0 55,3 37,0 69,0 285 50,0 57,0 64,0 56,9 26,0 76,0
Do, 23.06.2022 23:00 24:00 328 108 50,0 56,0 60,0 55,1 35,0 69,0 220 51,0 57,0 66,0 58,3 20,0 93,0
Fr, 24.06.2022 0:00 1:00 194 70 48,0 56,0 60,7 54,3 41,0 69,0 124 51,0 59,0 65,0 57,8 31,0 79,0
Fr, 24.06.2022 1:00 2:00 93 34 47,0 57,0 60,0 55,0 42,0 71,0 59 52,0 58,0 64,3 58,5 47,0 73,0
Fr, 24.06.2022 2:00 3:00 66 34 50,0 57,5 62,1 56,2 25,0 72,0 32 55,3 59,5 70,4 61,5 30,0 87,0
Fr, 24.06.2022 3:00 4:00 83 50 49,4 55,0 60,0 55,1 42,0 72,0 33 54,0 58,0 67,4 59,7 36,0 88,0
Fr, 24.06.2022 4:00 5:00 137 91 54,0 58,0 63,0 58,3 32,0 70,0 46 53,8 61,5 68,5 61,0 22,0 90,0
Fr, 24.06.2022 5:00 6:00 421 332 56,0 60,0 64,0 59,2 30,0 70,0 89 53,2 60,0 66,8 59,9 26,0 88,0
Fr, 24.06.2022 6:00 7:00 964 676 53,0 58,0 62,0 57,5 30,0 78,0 288 51,0 58,0 66,0 57,8 9,0 83,0
Fr, 24.06.2022 7:00 8:00 1.288 821 50,0 56,0 61,0 55,7 26,0 76,0 467 48,0 56,0 63,0 55,3 26,0 81,0
Datum Richtung 1: Wien (nah) Richtung 2: St. Pölten (nah)Zeit
11

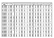
B1 - km 16,980 - Purkersdorf Zählstelle Nr.: 910306, Zählgerät Nr. 6396 (36) & 6409 (49), ST3-VS(CL)  
∑ Kfz
von bis R1+R2 Kfz v15 v50 v85 vd vmin vmax Kfz v15 v50 v85 vd vmin vmaxDatum Richtung 1: Wien (nah) Richtung 2: St. Pölten (nah)Zeit
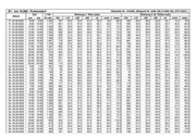
Fr, 24.06.2022 8:00 9:00 1.222 767 50,0 55,0 61,0 55,0 19,0 80,0 455 50,0 56,0 62,0 56,1 12,0 79,0
Fr, 24.06.2022 9:00 10:00 1.171 651 51,0 57,0 62,0 56,1 30,0 77,0 520 50,0 56,0 62,0 55,7 25,0 83,0
Fr, 24.06.2022 10:00 11:00 1.205 561 49,0 56,0 60,0 54,7 15,0 74,0 644 49,0 55,0 62,0 55,1 19,0 81,0
Fr, 24.06.2022 11:00 12:00 1.299 652 51,0 56,0 60,0 55,4 31,0 77,0 647 48,0 56,0 62,0 55,0 28,0 85,0
Fr, 24.06.2022 12:00 13:00 1.350 598 49,0 56,0 60,0 55,0 27,0 73,0 752 47,0 56,0 63,0 55,7 22,0 89,0
Fr, 24.06.2022 13:00 14:00 1.426 658 51,0 56,0 61,0 56,1 29,0 74,0 768 49,0 57,0 63,0 56,0 15,0 108,0
Fr, 24.06.2022 14:00 15:00 1.466 673 50,0 56,0 61,0 55,2 22,0 90,0 793 49,0 57,0 64,0 56,6 30,0 100,0
Fr, 24.06.2022 15:00 16:00 1.667 776 49,0 56,0 61,0 55,1 27,0 73,0 891 50,0 58,0 64,0 57,3 12,0 86,0
Fr, 24.06.2022 16:00 17:00 1.476 728 50,0 56,0 61,0 55,8 31,0 71,0 748 49,0 56,0 63,0 56,4 13,0 88,0
Fr, 24.06.2022 17:00 18:00 1.361 653 51,8 56,0 61,0 56,2 27,0 80,0 708 49,0 56,0 63,0 56,2 31,0 82,0
Fr, 24.06.2022 18:00 19:00 1.231 610 52,0 57,0 61,0 56,3 31,0 81,0 621 50,0 57,0 63,0 56,7 10,0 87,0
Fr, 24.06.2022 19:00 20:00 974 465 52,0 57,0 62,0 56,4 31,0 72,0 509 51,0 58,0 64,0 57,3 21,0 78,0
Fr, 24.06.2022 20:00 21:00 762 344 51,0 57,0 61,0 56,2 37,0 72,0 418 49,0 57,0 63,0 56,8 16,0 138,0
Fr, 24.06.2022 21:00 22:00 510 241 50,0 56,0 61,0 55,4 24,0 71,0 269 50,0 57,0 62,8 56,5 31,0 84,0
Fr, 24.06.2022 22:00 23:00 492 211 48,0 54,0 59,0 53,6 25,0 92,0 281 49,0 57,0 62,0 56,2 27,0 79,0
Fr, 24.06.2022 23:00 24:00 406 173 50,0 55,0 60,0 54,9 34,0 70,0 233 52,0 58,0 65,0 58,4 43,0 78,0
Sa, 25.06.2022 0:00 1:00 261 126 52,0 57,0 62,0 56,3 21,0 72,0 135 52,0 58,0 63,9 58,1 44,0 79,0
Sa, 25.06.2022 1:00 2:00 175 56 50,0 56,0 61,0 55,3 43,0 67,0 119 53,0 59,0 64,0 58,5 33,0 75,0
Sa, 25.06.2022 2:00 3:00 129 57 49,4 56,0 59,6 54,7 39,0 69,0 72 52,7 61,0 67,1 61,3 38,0 93,0
Sa, 25.06.2022 3:00 4:00 94 56 53,0 58,5 63,0 57,7 29,0 73,0 38 49,6 56,0 60,5 55,3 38,0 72,0
Sa, 25.06.2022 4:00 5:00 86 46 52,5 58,0 62,0 57,3 46,0 73,0 40 53,0 57,0 63,2 57,9 46,0 76,0
Sa, 25.06.2022 5:00 6:00 170 116 53,0 59,0 63,8 57,9 33,0 69,0 54 53,0 57,0 65,1 58,4 27,0 85,0
Sa, 25.06.2022 6:00 7:00 296 177 51,4 58,0 63,0 57,1 25,0 75,0 119 53,0 59,0 66,6 59,2 31,0 78,0
Sa, 25.06.2022 7:00 8:00 462 282 51,0 57,0 63,0 56,0 13,0 71,0 180 50,0 57,0 63,0 56,5 38,0 86,0
Sa, 25.06.2022 8:00 9:00 765 463 50,0 57,0 62,0 56,1 20,0 74,0 302 50,0 57,0 63,0 56,8 35,0 104,0
Sa, 25.06.2022 9:00 10:00 1.055 618 52,0 57,0 61,0 56,7 33,0 74,0 437 50,0 57,0 63,0 56,4 33,0 91,0
Sa, 25.06.2022 10:00 11:00 1.228 615 51,0 57,0 62,0 56,8 30,0 73,0 613 50,0 56,0 62,0 56,4 25,0 91,0
Sa, 25.06.2022 11:00 12:00 1.332 670 52,0 56,0 61,0 56,3 24,0 70,0 662 49,0 55,5 62,0 55,5 26,0 85,0
Sa, 25.06.2022 12:00 13:00 1.283 622 51,0 57,0 61,0 56,2 17,0 71,0 661 49,0 57,0 63,0 56,2 13,0 82,0
Sa, 25.06.2022 13:00 14:00 1.266 631 52,0 57,0 61,0 56,9 31,0 76,0 635 50,0 57,0 64,0 56,9 12,0 78,0
Sa, 25.06.2022 14:00 15:00 1.273 583 52,0 57,0 62,0 56,9 45,0 77,0 690 50,0 57,0 63,0 56,5 21,0 93,0
Sa, 25.06.2022 15:00 16:00 1.254 565 53,0 58,0 62,0 57,3 29,0 75,0 689 50,0 57,0 64,0 56,9 12,0 84,0
Sa, 25.06.2022 16:00 17:00 1.165 549 51,0 57,0 61,0 56,3 31,0 74,0 616 51,0 58,0 64,0 57,5 15,0 94,0
Sa, 25.06.2022 17:00 18:00 1.182 561 53,0 58,0 62,0 57,3 29,0 72,0 621 51,0 58,0 64,0 57,5 19,0 83,0
Sa, 25.06.2022 18:00 19:00 1.030 477 51,0 56,0 62,0 56,0 22,0 71,0 553 50,8 57,0 63,0 56,9 28,0 83,0
Sa, 25.06.2022 19:00 20:00 833 442 51,0 57,0 61,0 56,4 30,0 110,0 391 50,0 57,0 63,0 57,2 35,0 97,0
Sa, 25.06.2022 20:00 21:00 615 319 52,0 57,0 61,0 56,4 34,0 72,0 296 51,0 56,0 63,0 56,4 27,0 90,0
Sa, 25.06.2022 21:00 22:00 514 273 50,0 56,0 60,0 55,3 36,0 76,0 241 51,0 58,0 64,0 57,6 26,0 90,0
Sa, 25.06.2022 22:00 23:00 483 234 51,0 56,0 60,0 55,5 31,0 68,0 249 50,0 56,0 63,0 56,1 28,0 79,0
Sa, 25.06.2022 23:00 24:00 362 167 50,0 56,0 60,0 55,2 31,0 91,0 195 52,0 58,0 63,0 57,8 34,0 114,0
12

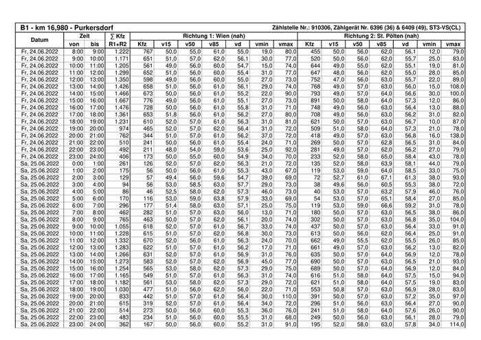
B1 - km 16,980 - Purkersdorf Zählstelle Nr.: 910306, Zählgerät Nr. 6396 (36) & 6409 (49), ST3-VS(CL)  
∑ Kfz
von bis R1+R2 Kfz v15 v50 v85 vd vmin vmax Kfz v15 v50 v85 vd vmin vmaxDatum Richtung 1: Wien (nah) Richtung 2: St. Pölten (nah)Zeit
So, 26.06.2022 0:00 1:00 236 106 50,0 55,0 60,3 55,2 38,0 79,0 130 52,0 57,0 64,0 57,2 41,0 74,0
So, 26.06.2022 1:00 2:00 188 87 50,0 56,0 61,1 55,6 42,0 67,0 101 52,0 58,0 63,0 58,4 46,0 91,0
So, 26.06.2022 2:00 3:00 116 47 50,8 57,0 62,1 56,0 24,0 75,0 69 50,0 58,0 65,8 58,0 35,0 79,0
So, 26.06.2022 3:00 4:00 86 40 44,0 54,0 61,0 52,9 27,0 77,0 46 46,0 57,5 65,3 56,8 43,0 78,0
So, 26.06.2022 4:00 5:00 73 39 50,7 57,0 61,0 56,3 35,0 76,0 34 51,0 58,0 66,1 58,5 43,0 71,0
So, 26.06.2022 5:00 6:00 153 74 53,0 58,0 64,0 57,6 25,0 77,0 79 52,0 57,0 64,6 58,4 42,0 90,0
So, 26.06.2022 6:00 7:00 222 118 51,0 58,0 63,0 57,1 27,0 72,0 104 51,5 58,0 64,0 57,6 29,0 84,0
So, 26.06.2022 7:00 8:00 282 149 54,0 59,0 64,0 58,6 29,0 73,0 133 52,0 57,0 64,0 57,1 27,0 75,0
So, 26.06.2022 8:00 9:00 594 296 51,0 57,0 62,0 56,5 27,0 75,0 298 49,0 57,0 63,0 56,0 24,0 78,0
So, 26.06.2022 9:00 10:00 819 363 52,0 58,0 63,0 57,5 23,0 76,0 456 50,0 56,0 62,0 55,7 23,0 79,0
So, 26.06.2022 10:00 11:00 1.024 427 50,9 57,0 61,0 55,8 25,0 76,0 597 50,0 57,0 62,0 55,7 11,0 86,0
So, 26.06.2022 11:00 12:00 1.064 479 50,0 57,0 61,0 55,3 25,0 73,0 585 50,0 57,0 63,0 56,2 25,0 81,0
So, 26.06.2022 12:00 13:00 1.078 488 50,0 56,0 62,0 55,5 18,0 71,0 590 50,0 57,0 62,0 56,1 20,0 84,0
So, 26.06.2022 13:00 14:00 1.006 467 51,9 57,0 62,0 56,3 20,0 77,0 539 49,0 57,0 62,0 56,2 9,0 87,0
So, 26.06.2022 14:00 15:00 1.031 481 52,0 57,0 62,0 56,7 26,0 72,0 550 49,0 57,0 63,0 56,3 26,0 83,0
So, 26.06.2022 15:00 16:00 906 485 51,0 56,0 61,0 55,7 29,0 72,0 421 49,0 56,0 62,0 56,0 20,0 93,0
So, 26.06.2022 16:00 17:00 965 563 51,0 56,0 61,0 56,0 31,0 76,0 402 49,0 58,0 65,0 57,2 23,0 95,0
So, 26.06.2022 17:00 18:00 1.081 683 49,0 55,0 61,0 54,6 19,0 77,0 398 51,0 57,0 63,0 56,8 25,0 94,0
So, 26.06.2022 18:00 19:00 1.173 765 48,6 55,0 60,0 54,5 19,0 78,0 408 51,1 58,0 64,0 58,1 33,0 79,0
So, 26.06.2022 19:00 20:00 1.091 707 49,0 55,0 60,0 54,7 18,0 85,0 384 51,0 58,0 64,0 57,9 25,0 85,0
So, 26.06.2022 20:00 21:00 875 562 51,0 57,0 61,0 56,0 27,0 82,0 313 50,0 58,0 64,0 57,2 28,0 83,0
So, 26.06.2022 21:00 22:00 651 369 50,0 56,0 60,0 55,3 22,0 71,0 282 51,0 57,0 64,0 57,5 33,0 90,0
So, 26.06.2022 22:00 23:00 413 203 50,0 55,0 60,0 55,1 28,0 67,0 210 51,0 57,0 63,0 56,9 19,0 81,0
So, 26.06.2022 23:00 24:00 233 77 48,4 55,0 60,0 54,2 35,0 66,0 156 50,3 58,0 65,0 57,4 22,0 88,0
Mo, 27.06.2022 0:00 1:00 127 47 47,9 56,0 61,0 54,6 39,0 69,0 80 50,9 57,0 66,2 58,5 40,0 87,0
Mo, 27.06.2022 1:00 2:00 66 25 52,6 56,0 62,0 57,0 44,0 75,0 41 53,0 59,0 64,0 58,6 48,0 74,0
Mo, 27.06.2022 2:00 3:00 45 15 47,1 57,0 60,0 54,2 36,0 66,0 30 53,7 59,0 67,0 59,7 27,0 87,0
Mo, 27.06.2022 3:00 4:00 57 34 55,0 60,0 64,0 59,6 53,0 69,0 23 53,3 59,0 69,5 60,3 46,0 76,0
Mo, 27.06.2022 4:00 5:00 122 79 53,0 58,0 63,0 57,5 28,0 71,0 43 55,0 61,0 67,7 61,3 43,0 93,0
Mo, 27.06.2022 5:00 6:00 521 404 55,0 60,0 64,0 58,7 25,0 76,0 117 53,0 59,0 66,0 59,7 31,0 90,0
Mo, 27.06.2022 6:00 7:00 1.161 830 52,0 58,0 62,0 56,8 25,0 77,0 331 51,0 58,0 64,5 57,9 39,0 80,0
Mo, 27.06.2022 7:00 8:00 1.424 913 45,0 52,0 59,0 52,0 21,0 81,0 511 46,0 54,0 61,0 53,6 18,0 80,0
Mo, 27.06.2022 8:00 9:00 1.316 807 45,0 53,0 59,0 52,2 19,0 71,0 509 47,0 55,0 62,0 54,4 8,0 78,0
Mo, 27.06.2022 9:00 10:00 1.187 681 50,0 56,0 61,0 55,4 28,0 85,0 506 48,0 56,0 63,0 55,7 10,0 78,0
Mo, 27.06.2022 10:00 11:00 1.109 577 51,0 57,0 61,0 56,1 30,0 78,0 532 49,0 57,0 63,0 56,7 30,0 79,0
Mo, 27.06.2022 11:00 12:00 1.150 566 51,0 56,0 61,0 56,3 28,0 81,0 584 50,0 57,0 64,0 56,8 19,0 83,0
Mo, 27.06.2022 12:00 13:00 1.174 565 50,0 56,0 61,0 55,5 29,0 73,0 609 49,0 56,0 64,0 56,1 26,0 81,0
Mo, 27.06.2022 13:00 14:00 1.173 514 51,0 57,0 62,0 56,7 30,0 74,0 659 51,0 58,0 64,0 57,5 27,0 81,0
Mo, 27.06.2022 14:00 15:00 1.237 538 51,0 57,0 61,0 56,3 27,0 75,0 699 49,7 57,0 63,0 56,8 23,0 86,0
Mo, 27.06.2022 15:00 16:00 1.362 595 50,0 56,0 61,9 55,8 28,0 79,0 767 50,0 58,0 65,0 57,5 27,0 91,0
13

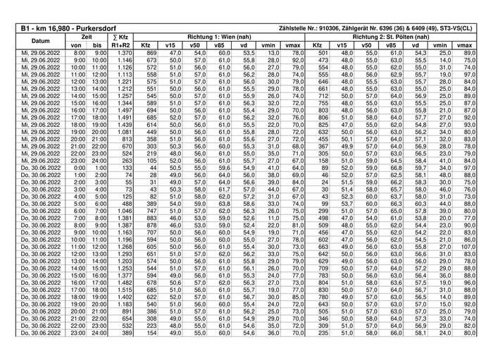
B1 - km 16,980 - Purkersdorf Zählstelle Nr.: 910306, Zählgerät Nr. 6396 (36) & 6409 (49), ST3-VS(CL)  
∑ Kfz
von bis R1+R2 Kfz v15 v50 v85 vd vmin vmax Kfz v15 v50 v85 vd vmin vmaxDatum Richtung 1: Wien (nah) Richtung 2: St. Pölten (nah)Zeit
Mo, 27.06.2022 16:00 17:00 1.486 634 50,0 56,0 61,0 55,8 28,0 76,0 852 50,0 57,0 64,0 56,5 18,0 99,0
Mo, 27.06.2022 17:00 18:00 1.497 682 51,0 57,0 61,0 56,3 28,0 75,0 815 50,0 57,0 65,0 57,1 11,0 101,0
Mo, 27.06.2022 18:00 19:00 1.296 576 51,0 56,0 61,8 55,8 25,0 87,0 720 50,0 57,0 64,0 56,7 21,0 85,0
Mo, 27.06.2022 19:00 20:00 1.026 472 51,0 57,0 62,0 56,3 24,0 82,0 554 53,0 59,0 64,0 58,6 24,0 89,0
Mo, 27.06.2022 20:00 21:00 810 368 51,0 56,0 60,0 55,4 30,0 67,0 442 50,0 56,0 63,0 56,4 22,0 85,0
Mo, 27.06.2022 21:00 22:00 526 249 48,2 55,0 61,0 54,8 29,0 80,0 277 48,0 57,0 63,0 55,8 19,0 83,0
Mo, 27.06.2022 22:00 23:00 382 158 49,6 56,0 60,0 55,1 20,0 69,0 224 52,0 58,0 65,0 58,4 38,0 84,0
Mo, 27.06.2022 23:00 24:00 216 78 46,6 54,0 60,5 53,7 40,0 65,0 138 52,0 59,0 65,5 58,7 36,0 81,0
Di, 28.06.2022 0:00 1:00 92 34 50,0 57,0 64,1 57,1 41,0 76,0 58 49,6 58,0 65,0 57,4 28,0 112,0
Di, 28.06.2022 1:00 2:00 82 38 49,0 55,0 61,5 55,0 39,0 70,0 44 53,0 61,0 65,6 60,2 45,0 78,0
Di, 28.06.2022 2:00 3:00 49 27 47,0 58,0 62,1 55,0 29,0 65,0 22 49,3 57,0 69,4 57,2 31,0 83,0
Di, 28.06.2022 3:00 4:00 53 29 51,2 56,0 65,0 57,4 41,0 70,0 24 50,9 58,5 64,6 57,0 38,0 70,0
Di, 28.06.2022 4:00 5:00 131 80 52,9 58,0 63,0 57,5 29,0 72,0 51 50,5 58,0 68,0 59,3 36,0 112,0
Di, 28.06.2022 5:00 6:00 469 380 54,0 59,0 64,0 58,6 23,0 72,0 89 53,2 59,0 67,0 59,9 45,0 87,0
Di, 28.06.2022 6:00 7:00 1.096 789 52,0 57,0 62,0 57,0 28,0 73,0 307 50,0 58,0 65,0 57,8 22,0 88,0
Di, 28.06.2022 7:00 8:00 1.400 935 46,0 53,0 59,9 52,3 22,0 75,0 465 47,0 55,0 62,0 54,4 20,0 77,0
Di, 28.06.2022 8:00 9:00 1.336 859 46,0 53,0 59,0 52,3 22,0 78,0 477 45,0 53,0 61,0 53,0 16,0 84,0
Di, 28.06.2022 9:00 10:00 1.208 720 50,0 56,0 61,0 55,3 27,0 72,0 488 47,0 54,0 62,0 54,1 20,0 78,0
Di, 28.06.2022 10:00 11:00 1.166 572 50,0 56,0 61,0 55,6 27,0 78,0 594 47,0 55,0 62,0 54,5 29,0 83,0
Di, 28.06.2022 11:00 12:00 1.178 625 51,0 56,0 61,0 56,0 20,0 78,0 553 49,0 56,0 64,0 56,2 21,0 91,0
Di, 28.06.2022 12:00 13:00 1.076 527 50,0 56,0 61,0 55,3 28,0 69,0 549 49,0 57,0 64,0 56,4 10,0 107,0
Di, 28.06.2022 13:00 14:00 1.209 550 49,0 56,0 60,0 55,0 22,0 98,0 659 49,0 57,0 64,0 56,4 30,0 84,0
Di, 28.06.2022 14:00 15:00 1.294 591 51,0 56,0 62,0 56,3 33,0 80,0 703 50,0 57,0 64,0 57,1 23,0 98,0
Di, 28.06.2022 15:00 16:00 1.360 602 50,0 56,0 61,0 55,1 31,0 79,0 758 49,0 56,5 63,0 56,1 10,0 106,0
Di, 28.06.2022 16:00 17:00 1.462 650 50,0 56,0 61,0 55,6 34,0 72,0 812 48,0 56,0 64,0 55,9 16,0 92,0
Di, 28.06.2022 17:00 18:00 1.556 712 51,0 56,0 61,0 56,0 29,0 76,0 844 49,0 56,0 62,0 55,6 24,0 85,0
Di, 28.06.2022 18:00 19:00 1.358 573 51,0 56,0 61,0 55,7 26,0 77,0 785 49,0 57,0 63,0 56,0 17,0 99,0
Di, 28.06.2022 19:00 20:00 1.117 489 50,0 56,0 61,0 55,3 28,0 70,0 628 49,0 57,0 64,0 56,6 22,0 99,0
Di, 28.06.2022 20:00 21:00 757 344 49,0 56,0 60,0 54,8 26,0 70,0 413 50,0 56,0 63,0 56,2 26,0 83,0
Di, 28.06.2022 21:00 22:00 526 234 51,0 55,0 59,0 54,4 14,0 67,0 292 50,0 57,0 63,0 56,4 23,0 76,0
Di, 28.06.2022 22:00 23:00 406 144 49,0 55,0 60,0 54,9 41,0 70,0 262 52,0 58,0 64,0 58,0 23,0 82,0
Di, 28.06.2022 23:00 24:00 238 83 49,3 56,0 61,0 55,7 40,0 71,0 155 52,0 59,0 65,0 58,8 33,0 106,0
Mi, 29.06.2022 0:00 1:00 137 61 49,0 55,0 61,0 54,8 34,0 68,0 76 51,0 58,0 65,0 58,8 43,0 86,0
Mi, 29.06.2022 1:00 2:00 73 28 53,1 56,5 60,0 56,2 47,0 63,0 45 56,0 61,0 66,8 61,5 47,0 86,0
Mi, 29.06.2022 2:00 3:00 39 17 45,4 54,0 59,8 52,4 42,0 63,0 22 46,3 59,0 67,6 57,2 25,0 84,0
Mi, 29.06.2022 3:00 4:00 58 33 48,0 56,0 62,2 56,1 46,0 72,0 25 53,0 58,0 71,4 61,0 47,0 81,0
Mi, 29.06.2022 4:00 5:00 125 82 53,2 59,0 62,0 58,4 49,0 76,0 43 51,3 59,0 63,0 58,1 35,0 87,0
Mi, 29.06.2022 5:00 6:00 518 415 55,0 60,0 64,0 59,0 24,0 79,0 103 52,0 60,0 67,0 59,7 11,0 90,0
Mi, 29.06.2022 6:00 7:00 1.086 789 49,0 56,0 62,0 55,4 23,0 86,0 297 51,0 57,0 65,0 58,0 34,0 105,0
Mi, 29.06.2022 7:00 8:00 1.392 928 46,0 53,0 60,0 52,3 13,0 76,0 464 48,0 55,0 61,0 54,7 20,0 79,0
14

B1 - km 16,980 - Purkersdorf Zählstelle Nr.: 910306, Zählgerät Nr. 6396 (36) & 6409 (49), ST3-VS(CL)  
∑ Kfz
von bis R1+R2 Kfz v15 v50 v85 vd vmin vmax Kfz v15 v50 v85 vd vmin vmaxDatum Richtung 1: Wien (nah) Richtung 2: St. Pölten (nah)Zeit
Mi, 29.06.2022 8:00 9:00 1.370 869 47,0 54,0 60,0 53,5 13,0 78,0 501 48,0 55,0 61,0 54,3 25,0 89,0
Mi, 29.06.2022 9:00 10:00 1.146 673 50,0 57,0 61,0 55,8 28,0 92,0 473 48,0 55,0 63,0 55,5 14,0 75,0
Mi, 29.06.2022 10:00 11:00 1.126 572 51,0 56,0 61,0 56,0 27,0 79,0 554 48,0 55,0 62,0 55,0 31,0 74,0
Mi, 29.06.2022 11:00 12:00 1.113 558 51,0 57,0 61,0 56,2 28,0 74,0 555 48,0 56,0 62,9 55,7 19,0 97,0
Mi, 29.06.2022 12:00 13:00 1.221 575 51,0 57,0 61,0 56,0 30,0 79,0 646 48,0 55,5 63,0 55,7 28,0 84,0
Mi, 29.06.2022 13:00 14:00 1.212 551 50,0 56,0 61,0 55,5 29,0 78,0 661 48,0 55,0 63,0 55,0 25,0 84,0
Mi, 29.06.2022 14:00 15:00 1.257 545 50,0 57,0 61,0 55,9 26,0 74,0 712 50,0 57,0 64,0 56,9 25,0 89,0
Mi, 29.06.2022 15:00 16:00 1.344 589 51,0 57,0 61,0 56,3 32,0 72,0 755 48,0 55,0 63,0 55,5 25,0 87,0
Mi, 29.06.2022 16:00 17:00 1.497 694 50,0 56,0 61,0 55,4 29,0 70,0 803 48,0 56,0 63,0 55,8 21,0 87,0
Mi, 29.06.2022 17:00 18:00 1.491 685 52,0 57,0 61,0 56,2 32,0 76,0 806 51,0 58,0 64,0 57,7 27,0 92,0
Mi, 29.06.2022 18:00 19:00 1.439 614 50,0 56,0 61,0 55,5 22,0 70,0 825 47,0 55,0 62,0 54,8 27,0 93,0
Mi, 29.06.2022 19:00 20:00 1.081 449 50,0 56,0 61,0 55,8 28,0 72,0 632 50,0 56,0 63,0 56,2 34,0 80,0
Mi, 29.06.2022 20:00 21:00 813 358 51,0 56,0 61,0 55,6 27,0 72,0 455 50,1 57,0 64,0 57,1 32,0 83,0
Mi, 29.06.2022 21:00 22:00 670 303 50,3 56,0 60,0 55,3 31,0 68,0 367 49,9 57,0 64,0 56,9 28,0 78,0
Mi, 29.06.2022 22:00 23:00 524 219 48,0 56,0 61,0 55,0 35,0 71,0 305 50,0 57,0 63,0 56,5 23,0 79,0
Mi, 29.06.2022 23:00 24:00 263 105 52,0 56,0 61,0 55,7 27,0 67,0 158 51,0 59,0 64,5 58,4 41,0 84,0
Do, 30.06.2022 0:00 1:00 133 44 50,5 55,0 59,6 54,9 41,0 64,0 89 52,0 59,0 66,8 59,7 34,0 97,0
Do, 30.06.2022 1:00 2:00 74 28 49,0 56,0 64,0 56,0 38,0 69,0 46 52,0 57,0 62,5 58,1 48,0 88,0
Do, 30.06.2022 2:00 3:00 55 31 49,0 57,0 64,0 56,6 39,0 84,0 24 51,5 59,0 66,2 58,3 30,0 75,0
Do, 30.06.2022 3:00 4:00 73 43 50,3 58,0 61,7 57,0 44,0 67,0 30 51,4 58,0 65,7 58,0 46,0 76,0
Do, 30.06.2022 4:00 5:00 125 82 51,0 58,0 62,0 57,2 31,0 67,0 43 52,3 60,0 63,7 58,0 31,0 73,0
Do, 30.06.2022 5:00 6:00 488 389 54,0 59,0 63,8 58,6 33,0 74,0 99 53,7 60,0 66,3 60,3 44,0 88,0
Do, 30.06.2022 6:00 7:00 1.046 747 51,0 57,0 62,0 56,3 26,0 75,0 299 51,0 57,0 65,0 57,8 39,0 80,0
Do, 30.06.2022 7:00 8:00 1.381 883 46,0 53,0 59,0 52,6 11,0 75,0 498 47,0 54,0 61,0 53,8 20,0 77,0
Do, 30.06.2022 8:00 9:00 1.387 878 46,0 53,0 59,0 52,4 22,0 81,0 509 48,0 55,0 62,0 54,4 23,0 90,0
Do, 30.06.2022 9:00 10:00 1.163 707 50,0 56,0 60,0 54,9 19,0 71,0 456 47,0 55,0 62,0 54,2 22,0 83,0
Do, 30.06.2022 10:00 11:00 1.196 594 50,0 56,0 60,0 55,0 27,0 78,0 602 47,0 56,0 62,0 54,5 21,0 86,0
Do, 30.06.2022 11:00 12:00 1.268 605 50,0 56,0 61,0 55,4 30,0 73,0 663 49,0 56,0 63,0 55,8 27,0 107,0
Do, 30.06.2022 12:00 13:00 1.293 651 51,0 57,0 62,0 56,2 33,0 75,0 642 50,0 56,0 63,0 56,6 31,0 83,0
Do, 30.06.2022 13:00 14:00 1.203 574 50,0 56,0 61,0 55,8 29,0 79,0 629 49,0 56,0 63,0 56,0 29,0 78,0
Do, 30.06.2022 14:00 15:00 1.253 544 51,0 57,0 61,0 56,1 26,0 70,0 709 50,0 57,0 64,0 57,2 29,0 88,0
Do, 30.06.2022 15:00 16:00 1.377 594 49,0 56,0 61,0 55,3 24,0 77,0 783 50,0 56,0 63,0 56,4 36,0 88,0
Do, 30.06.2022 16:00 17:00 1.482 678 50,6 57,0 62,0 56,3 27,0 73,0 804 51,0 58,0 63,6 57,5 19,0 96,0
Do, 30.06.2022 17:00 18:00 1.515 685 51,0 56,0 61,0 55,7 19,0 77,0 830 50,0 57,0 64,0 56,7 31,0 88,0
Do, 30.06.2022 18:00 19:00 1.402 622 52,0 57,0 61,0 56,7 30,0 85,0 780 49,0 57,0 63,0 56,5 14,0 89,0
Do, 30.06.2022 19:00 20:00 1.183 540 51,0 56,0 60,0 55,4 24,0 72,0 643 50,0 57,0 63,0 57,0 15,0 92,0
Do, 30.06.2022 20:00 21:00 891 386 51,0 57,0 61,0 56,2 25,0 73,0 505 51,0 57,0 63,0 57,0 25,0 79,0
Do, 30.06.2022 21:00 22:00 654 308 49,0 55,0 61,0 54,9 29,0 70,0 346 50,0 58,0 64,0 57,3 33,0 74,0
Do, 30.06.2022 22:00 23:00 532 223 48,0 55,0 61,0 54,6 35,0 72,0 309 51,0 57,0 64,0 56,9 29,0 82,0
Do, 30.06.2022 23:00 24:00 389 154 49,0 55,0 60,0 54,6 36,0 70,0 235 51,0 58,0 66,0 58,1 24,0 80,0
15

B1 - km 16,980 - Purkersdorf Zählstelle Nr.: 910306, Zählgerät Nr. 6396 (36) & 6409 (49), ST3-VS(CL)  
∑ Kfz
von bis R1+R2 Kfz v15 v50 v85 vd vmin vmax Kfz v15 v50 v85 vd vmin vmaxDatum Richtung 1: Wien (nah) Richtung 2: St. Pölten (nah)Zeit
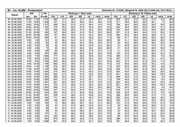
Fr, 01.07.2022 0:00 1:00 213 76 49,3 56,0 60,0 55,1 39,0 65,0 137 53,0 59,0 65,0 59,2 42,0 92,0
Fr, 01.07.2022 1:00 2:00 124 50 49,7 57,0 60,0 55,9 43,0 69,0 74 54,0 58,5 64,1 59,1 40,0 96,0
Fr, 01.07.2022 2:00 3:00 68 27 50,0 54,0 62,0 55,1 43,0 70,0 41 50,0 59,0 65,0 58,6 25,0 89,0
Fr, 01.07.2022 3:00 4:00 67 38 51,6 58,0 62,5 57,5 44,0 66,0 29 51,2 58,0 71,6 61,6 34,0 124,0
Fr, 01.07.2022 4:00 5:00 121 73 52,8 58,0 62,0 57,1 30,0 67,0 48 51,0 59,5 68,9 58,9 39,0 77,0
Fr, 01.07.2022 5:00 6:00 440 343 55,0 60,0 65,0 59,3 32,0 79,0 97 49,0 59,0 68,0 58,7 23,0 99,0
Fr, 01.07.2022 6:00 7:00 904 636 52,0 58,0 62,0 57,2 29,0 76,0 268 51,0 58,0 64,0 57,7 31,0 87,0
Fr, 01.07.2022 7:00 8:00 1.259 785 47,0 54,0 60,0 53,6 8,0 72,0 474 47,0 54,0 61,0 53,9 33,0 82,0
Fr, 01.07.2022 8:00 9:00 1.378 806 46,8 53,0 59,0 52,8 16,0 77,0 572 48,0 56,0 62,0 55,2 15,0 96,0
Fr, 01.07.2022 9:00 10:00 1.242 633 50,8 56,0 62,0 56,2 29,0 96,0 609 49,0 56,0 63,0 55,8 28,0 95,0
Fr, 01.07.2022 10:00 11:00 1.466 750 49,0 55,0 60,0 54,5 17,0 73,0 716 49,0 56,0 62,0 55,6 16,0 86,0
Fr, 01.07.2022 11:00 12:00 1.345 616 51,0 56,0 61,0 55,9 32,0 82,0 729 50,0 56,0 63,0 56,1 25,0 97,0
Fr, 01.07.2022 12:00 13:00 1.492 704 50,0 56,0 61,0 55,1 26,0 76,0 788 48,0 56,0 62,0 55,3 28,0 98,0
Fr, 01.07.2022 13:00 14:00 1.375 579 51,0 56,0 61,0 56,1 31,0 72,0 796 50,0 57,0 64,0 56,8 30,0 94,0
Fr, 01.07.2022 14:00 15:00 1.477 604 50,0 56,0 60,0 55,4 29,0 73,0 873 51,0 57,0 63,0 56,9 24,0 81,0
Fr, 01.07.2022 15:00 16:00 1.440 596 51,0 56,0 61,0 55,7 16,0 74,0 844 50,0 56,0 63,0 56,3 28,0 81,0
Fr, 01.07.2022 16:00 17:00 1.326 596 51,0 57,0 62,0 56,4 31,0 72,0 730 51,0 57,0 63,7 57,2 15,0 86,0
Fr, 01.07.2022 17:00 18:00 1.383 707 51,0 56,0 61,0 55,8 32,0 84,0 676 49,0 56,0 63,0 56,0 13,0 88,0
Fr, 01.07.2022 18:00 19:00 1.434 772 49,0 55,0 60,0 54,8 31,0 75,0 662 48,0 55,0 62,0 55,3 19,0 88,0
Fr, 01.07.2022 19:00 20:00 1.049 475 50,0 56,0 61,0 55,3 27,0 77,0 574 50,0 56,0 63,0 56,1 27,0 96,0
Fr, 01.07.2022 20:00 21:00 784 341 50,0 56,0 62,0 56,0 26,0 79,0 443 49,0 57,0 64,0 56,5 22,0 86,0
Fr, 01.07.2022 21:00 22:00 524 245 48,0 56,0 61,0 55,0 33,0 69,0 279 50,0 57,0 63,0 56,5 35,0 82,0
Fr, 01.07.2022 22:00 23:00 488 222 30,0 55,0 60,0 50,4 16,0 68,0 266 49,0 56,0 62,0 56,1 36,0 90,0
Fr, 01.07.2022 23:00 24:00 322 163 26,0 53,0 59,0 48,0 18,0 66,0 159 50,0 57,0 63,0 56,4 34,0 102,0
Sa, 02.07.2022 0:00 1:00 189 82 49,0 55,0 60,7 54,2 21,0 70,0 107 48,9 57,0 63,1 56,3 36,0 76,0
Sa, 02.07.2022 1:00 2:00 114 50 49,4 56,0 60,7 55,5 39,0 67,0 64 52,0 58,0 64,0 57,9 37,0 75,0
Sa, 02.07.2022 2:00 3:00 125 67 49,9 56,0 62,0 55,5 26,0 74,0 58 52,0 59,0 65,0 59,7 44,0 82,0
Sa, 02.07.2022 3:00 4:00 101 58 50,0 56,0 60,5 55,5 31,0 72,0 43 51,3 56,0 65,0 58,2 41,0 85,0
Sa, 02.07.2022 4:00 5:00 104 54 52,0 59,0 64,0 58,5 48,0 78,0 50 52,0 58,0 64,0 58,5 46,0 84,0
Sa, 02.07.2022 5:00 6:00 153 100 52,0 58,0 63,0 57,3 35,0 73,0 53 51,0 58,0 68,0 59,0 14,0 97,0
Sa, 02.07.2022 6:00 7:00 353 189 52,0 58,0 62,0 56,8 32,0 68,0 164 49,0 56,5 66,0 56,8 25,0 81,0
Sa, 02.07.2022 7:00 8:00 537 291 51,0 58,0 62,0 57,1 31,0 74,0 246 51,0 58,0 65,0 57,9 30,0 94,0
Sa, 02.07.2022 8:00 9:00 853 494 50,0 56,5 61,0 55,5 22,0 72,0 359 49,7 56,0 62,0 56,0 8,0 79,0
Sa, 02.07.2022 9:00 10:00 1.087 581 53,0 57,0 62,0 56,9 27,0 75,0 506 50,0 57,0 63,0 56,5 24,0 94,0
Sa, 02.07.2022 10:00 11:00 1.303 646 51,0 56,0 61,0 55,8 18,0 74,0 657 48,0 56,0 63,0 55,3 21,0 81,0
Sa, 02.07.2022 11:00 12:00 1.347 677 51,0 57,0 61,0 55,9 29,0 71,0 670 51,0 57,0 63,7 57,0 28,0 90,0
Sa, 02.07.2022 12:00 13:00 1.330 643 52,0 57,0 61,7 56,4 23,0 79,0 687 50,0 58,0 63,0 56,9 33,0 90,0
Sa, 02.07.2022 13:00 14:00 1.367 615 50,0 56,0 62,0 55,8 21,0 71,0 752 49,0 56,0 63,0 55,9 21,0 81,0
Sa, 02.07.2022 14:00 15:00 1.277 564 51,0 57,0 61,0 56,3 22,0 75,0 713 50,0 57,0 64,0 57,1 27,0 80,0
Sa, 02.07.2022 15:00 16:00 1.186 568 52,0 57,0 62,0 56,7 27,0 82,0 618 51,0 57,0 63,0 57,2 31,0 82,0
16

B1 - km 16,980 - Purkersdorf Zählstelle Nr.: 910306, Zählgerät Nr. 6396 (36) & 6409 (49), ST3-VS(CL)  
∑ Kfz
von bis R1+R2 Kfz v15 v50 v85 vd vmin vmax Kfz v15 v50 v85 vd vmin vmaxDatum Richtung 1: Wien (nah) Richtung 2: St. Pölten (nah)Zeit
Sa, 02.07.2022 16:00 17:00 1.175 586 50,0 57,0 61,0 56,1 25,0 71,0 589 50,0 57,0 63,0 56,7 26,0 89,0
Sa, 02.07.2022 17:00 18:00 1.151 634 51,0 56,0 61,0 56,0 25,0 79,0 517 51,0 57,0 63,0 56,6 22,0 97,0
Sa, 02.07.2022 18:00 19:00 1.121 582 51,0 57,0 62,0 56,6 28,0 87,0 539 50,0 57,0 64,0 57,1 20,0 88,0
Sa, 02.07.2022 19:00 20:00 882 511 51,0 56,0 61,0 55,6 29,0 92,0 371 50,5 58,0 64,0 57,2 29,0 77,0
Sa, 02.07.2022 20:00 21:00 744 438 51,0 57,0 62,0 56,0 26,0 71,0 306 51,0 57,0 64,0 57,5 23,0 85,0
Sa, 02.07.2022 21:00 22:00 559 314 50,0 56,0 60,0 55,2 30,0 73,0 245 50,0 57,0 63,0 57,1 31,0 88,0
Sa, 02.07.2022 22:00 23:00 521 290 49,0 54,5 59,0 54,0 21,0 67,0 231 50,0 58,0 63,5 57,3 28,0 87,0
Sa, 02.07.2022 23:00 24:00 463 239 50,0 56,0 60,0 55,3 26,0 88,0 224 51,5 57,5 63,0 57,5 9,0 87,0
So, 03.07.2022 0:00 1:00 303 127 50,0 56,0 61,0 55,1 31,0 66,0 176 52,0 58,0 63,0 57,6 34,0 78,0
So, 03.07.2022 1:00 2:00 174 78 51,0 56,0 60,0 55,6 36,0 69,0 96 54,0 58,0 64,0 59,2 46,0 85,0
So, 03.07.2022 2:00 3:00 122 47 47,7 57,0 63,0 54,9 24,0 67,0 75 53,1 59,0 65,0 59,5 34,0 83,0
17